Elämän alkuperän ongelmia 1: rakennuspalikoiden monimuotoisuus
Elämän synty on ollut hyvin monivaiheinen prosessi – ainakin jos käsitämme sen vapaasti ja laajasti – sillä siihen voidaan katsoa kuuluvaksi kaikki aiemmat tapahtumat jotka ovat joko suoraan tai välillisesti siihen vaikuttaneet – eli koko elämää tuottavan maailmankaikkeuden kehittyminen! Tässä jutussa kuitenkin rajaan elämän synnyn tarkoittamaan sitä prosessia joka tuotti tämän meidän tuntemamme ja edustamamme elämän juuri tänne Maa-planeetalle, heti pian planeetan muodostumisen ja jäähtymisen jälkeen. Siihenkin prosessiin liittyy vielä isoja ja avoimia kysymyksiä. Aikomukseni on niitä vielä tulevissakin blogeissani availla – ja niinpä tuossa otsikossa on nyt järjestysnumero yksi. Siis, elämän synnyn ensimmäinen kysymys – tällä planeetalla – on: mistä tulivat elämän rakennuspalikat.
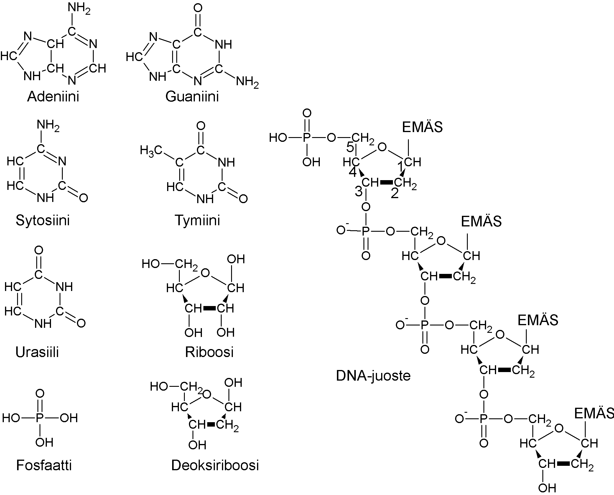
Tuntemamme elämä – eli kaikki täällä Maan päällä esiintyvä elämä – koostuu hyvin suurista orgaanisista molekyyleistä: nukleiinihapoista (DNA ja RNA), proteiineista ja erilaisista lipideistä. Näillä on kullakin omat tehtävänsä: ensimmäiset sisältävät informaation (elämän rakennus- ja toimintaohje) ja kantavat sitä eteenpäin sukupolvelta toiselle, toiset toimivat työkaluina sen ylläpitämiseksi, ja kolmannet muodostavat kalvoja jotka sulkevat koko järjestelmän sisäänsä – eli rajaavat elämän erilleen sen ympäristöstä. Sekä proteiinit että nukleiinihapot ovat valtavan suuria ja monimuotoisia molekyylejä. Esimerkiksi ihmisen jokaisessa solussa olevan DNA-rihman kokonaispituus – jos se oikein auki kerittäisiin – olisi noin 2 metriä. Niiden koko ja kompleksisuus johtuvat siitä että ne rakentuvat hyvin monista pienistä yksiköistä. Proteiinit rakentuvat aminohapoista, ja nukleiinihapot nukleotideista. Esimerkiksi taas tuo ihmisen genomi, yksinkertaisena kopiona, muodostuu noin kolmesta miljardista nukleotidiparista – siis koko kaksinkertainen genomi yhteensä n. 12 miljardista yksittäisestä nukleotidista. Tätä kautta tämä polymeerikemian monimuotoisuus palautuukin yksinkertaisempaan lähtökohtaan: koko tuo monimuotoisuus rakentuu vain neljästä erilaisesta nukleotidista – ja nekin jakaantuvat keskenään kahteen eri tyyppiin, puriineihin (adeniini- ja guanidiini-nukleotidit) ja pyrimidiineihin (sytosiini ja tymiini-nukleotidit). Koulubiologiasta jo muistamme että nämä pariutuvat spesifisesti keskenään, G pariutuu C:n kanssa, ja A T:n kanssa. Toinen toisensa peilikuvina ne siis säilyttävät parinsa kantaman informaation. DNAssa näiden nukleotidien tukirangan muodostavat deoksiriboosi-molekyylit, RNAssa taas riboosi-molekyylit. RNAssa tymiinin tilalla on urasiili.
Meidän monimutkaiset genomimme ovat pitkällisen kehityksen tulosta, ja alkuperäiset ja ensimmäiset kopioituvat genomit ovat olleet näihin verrattuna hyvin yksinkertaisia. Ja lyhyitä – ehkä vain 50 nukleotidin mittaisia. Silti – ainakin joltakin kehitysasteeltaan eteenpäin – niidenkin on pitänyt muodostua näistä samoista rakennuspalikoista, eli nukleotideista. Ne todennäköisesti muodostuivat vielä nimenomaan ribonukleotideistä, eli olivat RNA-tyyppisiä lyhyitä rihmoja. Nämä ribonukleotidirihmat ovat käynnistäneet ”peilikuvaksi kopioitumisen” , joka sitten on jatkunut keskeytyksettä koko eliökunnan kehityksen ajan. Jonkinlaiset aminohappoyhdisteet (pienet peptidit) ovat ilmeisesti jo hyvin varhaisessa vaiheessa avustaneet niiden kopioitumista, ja näistä vuorovaikutuksista on vähitellen kehittynyt translaatiokoneisto eli geneettisesti ohjattu proteiinisynteesi (– tästä kerron seuraavalla kerralla).
Liittyen ensimmäisten yksinkertaisten nukleotidirihmojen syntyyn, ERÄS ongelma on ollut nukleotidien alkuperä. Elävät solut pystyvät syntetoimaan niitä entsyymikemian avulla helposti ja tehokkaasti – mutta kemisteille on ollut erittäin haasteellista löytää sellaisia elottomia (prebioottisia) kemiallisia reittejä joiden kautta syntyisi riittävästi kokonaisia ribonukleotideja – eli riboosisokerin, nukleotidi-emäksen ja fosfaatin yhdistelmiä (Kuva). Kuitenkin jo 1960-luvulta alkaen kemistiryhmät (mm. James Ferris ja Leslie Orgel) selvittivät reittejä miten vetysyanidimolekyylit joko yksinään tai ammoniakin kanssa voivat yhtyä ja muodostaa puriiniemäksiä, ja miten syaaniasetyleeni, syaaniasetaldehydi ja urea voivat kondensoitua pyrimidiiniemäksiksi. Riboosisokeria taas voi syntyä formaldehydin spontaanista polyrisaatioreaktiosta. Kuitenkin ongelma kaikkien näiden komponenttien kohdalla on ollut ensinnäkin se että niitä synty lähtöaineistaan vain hyvin vähän, ja jos vaikka syntyykin, niin niiden yhdistäminen kokonaisiksi nukleosideiksi (riboosi + emäs) on vielä vaikeampaa. Ja sitten, edelleen vaikeampaa on lisätä tähän yhdistelmään fosfaattiosa, jota varhaisella planeetalla on esiintynyt liukoisessa muodossa vain hyvin vähän, tai josko ollenkaan.
Tehokkaampia synteesireittejä on kuitenkin viime vuosina löydetty nukleotidi-emästen synnyn selvittämiseen (mm. Ernesto Di Mauron ja David Brennerin laboratorioissa ks. Powner et al. Nature 459, 239-242, 2009). Silti on ollut vallalla käsitys että elämän käyttämä kemia on niin monimutkaista, että sitä on hyvin vaikeaa toteuttaa prebioottisten reaktioiden kautta. Nyt kuitenkin tämä elämän molekyylien synteesiongelma saattaa olla kääntymässä aivan päinvastaiseksi (no, peilikuvathan täydentävät toisiaan). Nimittäin, Schmitt-Kopplin ja kumppanit julkaisivat uuden, ultratehokkaan kemiallisen analyysin (fourier-transformaatio-ioni- syklotroni-resonanssimassaspektroskopia + miedot ekstraktointimenetelmät + elektronisuihkutus-ionisaatiomenetelmä, PNAS (2010) 107:2763-2768 ) Murchinson-meteoriitista. Analyysin mukaan Murchinsonin meteoriitista löytyy valtava valikoima erilaisia, varsin suuriakin orgaanisia molekyylejä – eli useita kymmeniä tuhansia erillisiä massapiikkejä molekyylipainojen 100–2000 välillä, jotka molekyylipainoluokat sisältävät useita miljoonia erilaisia mahdollisia yhdisteitä. Tämä molekyylivalikoiman rikkaus ylittää huimasti sen mitä elämä tuottaa biokemiallisesti ja käyttää soluissaan. Siis, itse asiassa, kaaos on rikkaampi, ja informatiivisempi, kuin elämän tuottama järjestys: sattumanvaraisesti tuotettu kemiallinen maailma tuottaa enemmän vaihtelua ja on monipuolisempi kuin elämän tuottama hallittu ja säädelty biokemia.
Ongelma ei siis olekaan kaikkien elämän tarvitsemien kummallisten tuotteiden tuottaminen. Ongelma on – onkin se, miten ne oikeat tuotteet ovat valikoituneet siitä mahdottomasta puurosta mitä tuollaiset olosuhteet tuottavat.

Yksinkertaistaen on kyse pariutumisesta, jossa sopivat osaset lomittuu toisiinsa. Sitähän se elämän kertaaminen kaikkialla (maapallolla) ollut…
Niinpä niin. Informaatio kopioituu mallin mukaan. Ja lisääntyminen toteutuu monella tasolla. Suvullisen lisääntymisen tasolla pariutuminen taas johtaa informaation uudelleen järjestelyyn ja monimuotoisuuteen. Sekin on toimivan informaation säilyttämistä ja eteenpäin viemistä – sitähän elämä perimmältään pelkästään on.
”Kosmos” kysyy olisikos elämä voinut alkaa jossakin sellaisessa paikassa kuin Atlantin keskiharjanteella sijaitsevassa ”Kadonneesa kaupungissa” – eli mustien tai vaaleiden savuttajien savupiippumaisissa rakennelmissa. Nämä kuumien lähteiden purkausaukkojen päälle syntyvätt ”tötteröt” muodostuvat meren pohjan alta pulkkuavan kuuman veden sisältämien mineraalien (Fe, Ni) ja meriveden karbonaattien ja sulfaattien saostumista. Niissä todella tapahtuu hyvin aktiivista kemiaa kun meren pohjan alta pulppuava kuuma vesi tuo mukanaan runsasti erilaisia pelkistyneitä hiili- ja typpiyhdisteitä, jotka sitten voivat reagoida keskenään, sekä meriveteen liuonneiden suolojen kanssa. Jyrkät lämpötila- ja pH-gradientit myös ajavat kemiallisia reaktioita, ja tuottavat nopeasti vaihettuvia olosuhteita jotka voivat suosia erilaisten tuotteiden syntyä. Lisäksi huokoiset mineraalirakenteet tarjoavat runsaasti mahdollisia lokeroita ja pintoja joissa kemikaalit ja molekyylit voivat rikastua. Näistä syistä näitä huokoisia savupiippuja on pidetty – ja edelleen pidetään – elämän synnyn mahdollisina tapahtumapaikkoina. Kuitenkin on hyvin kyseenalaista – eikä ainakaan vielä toteennäytettyä – että monimutkaiset molekyylit voisivat pysyä ehjänä tai kasvaa sellaisissa kuumissa olosuhteissa – siellä on liian ”reaktiivista”, ja molekyylit pyrkivät vain hajoamaan siellä. Siitä huolimatta että noidenkin tupruttavien piippujen lämpötila on ”vain” 40 – 90C.
Mutta hienon näkösiä rakenteita, kuvista päätellen!!